Article of the Month - June 2017

Concrete Block Tracking in Breakwater Models

by Fernando SOARES, Maria João HENRIQUES and César ROCHA, Portugal

Fernando SOARES Maria JoãoHENRIQUES  César ROCHA

1)  This paper was presented at the FIG Working Week 2017 in Helsinki, Finland, 29 May – 2 June. This paper focuses on breakwater(BW) and evaluate the effectiveness of the shape and of the protective elements to save the harbour. This study proposes a methodology to estimate displacements of concrete blocks of the outer layer, also called protection layer, of rouble-mound breakwater models.

SUMMARY

The protection of harbours in coastal areas, that are exposed to the action of the sea waves, is made by breakwaters. During the phase of design of new breakwaters or the rehabilitation of existing ones, the evaluation of effectiveness of the shape and of the protective elements to save the harbour, 3D scale models are built inside wave basins or wave flumes. In the testing phase, water waves are generated, and the resulting impact on the breakwater model is periodically evaluated to study the hydraulic and structural behaviour under predefined sea-wave conditions. This study proposes a methodology to estimate displacements of concrete blocks of the outer layer, also called protection layer, of rouble-mound breakwater models. These blocks are placed in the areas where it is expected that action of the waves is stronger. The combination between the 3D information of a point cloud survey and the visual information of a digital image is a key factor for estimate the spatial location of the geometric centre of the blocks. The location of a block centre point, at different instants, gives its spatial displacement. The equipment used for data acquisition tests were a Kinect V2 sensor and a digital camera, with which were obtained the main data sets for this work: RGB imagery and 3D Point Clouds. The data collected by this allowed the generation of point clouds (X, Y and Z) and orthomosaics, both fundamental for the determination of displacements of the blocks. Indeed, displacements detection results from the determination of the spatial coordinates of the several locations of the Geometric Centre of each block, which is in fact the main outcome of this study. It is expected to serve as a contribution to the laboratory teams working at the Harbours and Maritime Structures Division of the Department of Hydraulics and Environment.

1.INTRODUCTION

A breakwater (BW) is a coastal engineering structure that has as main purpose the protection of a harbour against sea waves, although it is also used as coastal protection structure. A rubble‑mound BW, the most common harbour protection structure in areas with severe wave regimes, has large stones and/or special concrete blocks (cube, tetrapod or others) in the protection layer, the one that is exposed to the action of the waves. Displacements of the blocks can lead to a weakness of the protection and causing the harbour to become more the influence of waves.

During the phase of project is important to design an adequate structure: strong enough to resist to harsh wave regimes but with a cost of construction and maintenance reasonable. During this phase, after a preliminary design, the performance of the BW is verified with a physical model to evaluate the design effectiveness (Reis et al., 2014). Although there is software developed to evaluate the hydraulic and structural behaviour of this structures it was proven that tests with physical models and water are still more representative of the performance of structures in real environments.

The Harbours and Maritime Structures Division of the Department of Hydraulics and Environment (NPE) of Laboratório Nacional de Engenharia Civil (LNEC) frequently uses physical models of BWs, build inside water basins (complete model) or wave flumes (a section of the model) to study if the structure fulfils the safety requirements. Several sea states are reproduced and the effects of the waves on the structure are studied. During the study of the ripple effect on the model, waves are generated for periods of, usually, 20 minutes followed by a stationary period, during which information about the structure is gathered. During the study is intended to detect areas where the model changes due to the action of the waves. The most effective method of detection would be by measuring the displacement of the protective blocks. For the civil engineer, who will analyse the information, will be enough to only know the position of the centre of each of the protective blocks to be able to determine, by comparing data from different "campaigns", the displacement of each block.

This paper presents a methodology for the determination of displacements of the centre of tetrapods, a common protection block used for the protection of many BW, based on data acquired by a digital camera and by a sensor Kinetic V2 e.

1.1 Motivation

There is large interest in detecting changes of models of BWs, quickly, accurately and economically:

- Quickly, to reduce the periods in which the model is "stopped".

- Accurate, to have confidence in the data that is obtained.

- Economic, to manage and use, as much as possible, the available resources of the institution.

There have been attempts to achieve a proper method, three of those engaged at NPE. One took advantage of the traditional methods of photogrammetry, for which it was necessary to obtain images in the vertical of the model, which proved very time-consuming when used in water basins because it involved the assembly/disassembly of a structure for mounting the cameras; the other two included the study of the component "colour" of the images. In this last approach, difficulties were experienced due to lighting, which was impossible to maintain constant during the days/weeks in which the tests took place. Being a still unsolved problem, it was considered of interest to apply a totally different method that was based on coordinates of points obtained from point clouds generated from conventional photographs, obtained by digital cameras.

1.2 Framework

The theme “motion detection in BWs” requires an approach in two complementary steps. The first relates to the generation of orthomosaics and point clouds, including the choice of the best methodologies of image acquisition. The second relates to the ability to detect and locate each object (tetrapod, cube, that is, a block that has regular shape and known dimensions) lying on the surface of BWs, and determine the coordinates of the centres of this blocks with data extracted from the orthomosaics and from de point clouds.

The knowledge acquired and the procedures developed by the authors of this paper will be transferred to the technical LNEC personnel accompanying the tests of the design of BWs. The methodology is likely to have a higher value because it may be applied in real scenario BWs, located on the Portuguese coast.

2. OBJECTIVE

This study presents an approach to perform block tracking in physical BW models by using both registered Point Cloud (PC) and RGB imagery data taken at different instants. At a given instant, the status of each block is given by both location and orientation parameters. The 3D coordinates (XO,YO,ZO) of its Geometric Centre (GC), at consecutive instants, are used to obtain a motion path of each block. Angular parameters describe how blocks are moving, whether if rolling, or spinning, and can be designated as “Orientation”. In this study, we have focused the efforts on developing a method to find the location of the GC of the blocks, as it was put as a priority task by the working team.

3. EXPERIMENT SETUP

The data sets of the present study are the result of two different campaigns of breakwater models monitoring, each one using a different acquisition system. Both campaigns carried out in the facilities of the LNEC.

The aim of the laboratory experiments is to study the motion behaviour of BW models when struck by artificially generated water waves. The BW model is built of concrete blocks with known geometry and scales of weight and size.

The physical event is monitored by a camera system. The incoming datasets, obtained either directly or indirectly, were of two different kinds: RGB imagery and distance Point Cloud (PC). The next sections describe in more detail the acquisition devices and the data sets obtained.

3.1 Main data set 1

The data used on this experiment, kindly supplied by LNEC, were obtained on the scope of a scientific study about point cloud acquisition, developed by Henriques et al (2015), and presented at the FIG Working Week 2015. In summary, traditional photogrammetric and photographic techniques were followed to obtain two RGB ortho-images an PC data sets of the BW model. The surveyed area is described in Table 1 by the correspondent coordinate limits for all products.

Table 1. Experiment 1: RGB and PC metadata

Main Data Rows Columns X min X max Y min Y max Z min Z max
RGB 1 2112 5152 -0.3920 1.2821 -0.0055 0.6805 24 bit image
RGB 2 2922 5446 -0.4049 1.3647 -0.0146 0.9347 24 bit image
PC 1 Text file -0.3920 1.2584 -0.0052 0.6805 -0.0185 0.2915
PC 2 Text file -0.4049 1.2246 -0.0143 0.9256 -0.0153 0.3366

The blocks of concrete of the physical BW model are cubes (Fig. 1a), with an edge length of 32 mm (Fig. 2a).

More detailed information about all the technical characteristics of the produced data sets can be found at the previous reference, Section 4 (“The Model of a Breakwater”).

3.2 Main data set 2

This case study was the result of a single laboratory campaign made in the scope of a Master Thesis (Rocha, 2016), aiming to test a new methodology of BW models monitoring. The experience was made also in LNEC, on a BW model built with tetrapod units on the protection layer (Fig. 1b). Those units, more complex, have four circular plane faces of 5 mm radius (R), each one spaced 30.4 mm from the correspondent GC (Fig. 2b). The BW model was 3D scanned and photographed in simultaneous with a Kinect V2 RGB-D device, assembled on an elevated platform, at about 1.5 m vertically distant from the protection layer. A laptop Intel Core I5, 3.0GHz, USB 3.0, connected to the Kinect V2, stored distance data (PC) and imagery data, both at a rate of 1 frame per second.

Figure 1. (a) Left image: Experiment 1. (b) Right image: Experiment 2.

 

Figure 2. Blocks of concrete models. (a) Left illustration: cube. (b) Middle and right illustrations: tetrapod

3.2.1 About the Kinect V2 device

This device is the latest version of a motion detection sensor, created by Microsoft ®, for gaming interaction purposes.

The Kinect V2 sensor integrates a 1920×1080-pixel resolution RGB camera, for imagery data acquisition, and a 512×424-pixel resolution Infrared Sensor (IR) with infrared illuminators, for distance measurement. For each pixel of the depth matrix, the measuring device estimates in real-time a distance value to the corresponding object point. From the created “depth map”, and after a few post-processing steps, it is then possible to obtain indirectly PC of the captured scene or object. A complete description of this sensor and features can be found at Lachat et al. (2015).

The data acquired by the Kinetic is immediately transferred to a computer (it has no register capacity). The data transferring requires a Windows 8/10 compliant computer with a 64-bit (x64) processor, a built-in USB 3.0 host controller and a DX11 capable graphics adapter. Also, a power hub and USB cabling for the Kinect V2 device is required.

4. BLOCK TRACKING METHODOLOGY

The measured 3D points of a PC are generated only on the visual exposed regions of the BW model. The identification, either visual or by any other method, of the location and geometric shape of the block units, in a 3D PC, is a difficult task to accomplish (Henriques et al, 2016). The narrow gaps between neighbouring block units are frequently non-sampled, transforming several blocks in a unique block (Fig. 3). In addition, along the exposed flat faces of blocks, fluctuations in the measured distances (Z) occur, turning block edge identification a difficult task to achieve. To give answer to these drawbacks, we propose to use registered RGB images to best define the geometry of a block unit, by manual segmentation of a binary mask, then estimate an optimal plane surface, by least squares adjustment, that best fits the correspondent 3D points group. The RGB sample data sets were obtained from regions where displacements were visually detected, by cropping those from the main RGB imagery data. By turn, those were used to find the correspondent PC regions, matching both X and Y coordinates.

Figure 3. Due to the short spaces between some blocks (left image), these are indistinguishable in the PC (right image).

To find the location O(XO,YO,ZO) of a block, at a given instant, the following steps are performed (Soares et al., 2016):

  • Selection, on the RGB image, the upper top face of the aimed block, resulting in a binary mask.
  • Obtaining the correspondent distance values (Z), within the area of the mask, by crossing it with the PC.
  • Least squares adjustment of a plane model to the previous set of distance values (Z), limiting that plane to the area of the mask. The top face is thus estimated.
  • Finding the location of the middle point P(XP,YP,ZP), of the adjusted plane face, by computing its centroid.
  • Finding the point O(XO,YO,ZO) (GC) located at the end of the segment PO , perpendicular to the estimated plane (Fig. 2a). Spatial displacement is obtained by computing the linear distance between two GC locations.

4.1 Block face selection

To estimate the point P, it is necessary first to define the closed region of interest (ROI) corresponding to the most visible face of the target block. To gain trust about the feasibility of the proposed methodology, it was decided that a manual selection of the ROI over the RGB images could provide, at this stage, more solid conclusions. Therefore, in the present study, for cubic blocks, the ROI have been delimited by the four edges of each entire visible squared top face, pointing the correspondent four vertices. For the tetrapod blocks, the ROI have been delimited by elliptical shapes surrounding the entire aimed face. The selection was done as carefully as possible, to get the best approximation of the block face on each image. In each case, a binary mask has been assigned and used to get the (X,Y,Z) coordinates of the PC data points included in it.

Other scenarios, such as partially hidden blocks (Fig. 4), have been also identified. In these cases, the main consequence lies in the non-coincidence of the middle points of both the ROI and the true face shape, which will have direct impact on the block’s GC 3D location. This is a case study under solving and it is not yet able to be put on presentation.

Figure 4. Hidden block situation. Left image: the block edges are correct and a proper middle point is expected. Right image: the edges are not correct and a deviation of the middle point is expected.

4.2 Plane face adjustment by Least Squares

The (Xj,Yj,Zj) coordinates of the PC selected points, are given as an input in the least squares adjustment of the 3D plane surface, further limited to the size of the selected mask. The unknowns are coefficients a, b and d, that define the spatial position of the plane. The 3D plane equation model is given by the expression (1).

 

The sample equation system is given by the generic expression (2). The total number of equations (n) is equal to the number of 3D points selected in the PC.

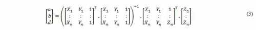
The outcome solution for the equation system is the vector of coefficients a, b and d (3), defining the 3D plane that best fit the Z measured values of the selected PC data set.

The sample residuals are estimated as in the expression (4).

The estimated measures, are given by adding the residuals to the initial distance values (5).

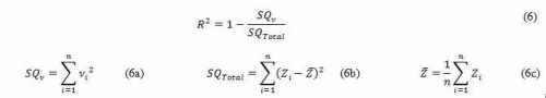
The measure of how well observed outcomes are replicated by the model can be given by the coefficient of determination R2, computed by (6), which refers the proportion of total variation of outcomes explained by the model.

4.3 Estimation of the Geometric Centre of the block

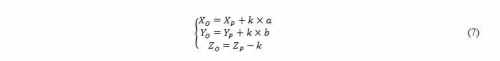
The ROI having the distance values (Zj) is now replaced by the adjusted plane, also delimitated by that ROI, in which is computed the correspondent 3D middle point P(XP,YP,ZP). The line r that contains both points P and O, and it is perpendicular to the plane face, follows the director vector v=(a,b,d) (see illustration example for the cubic block in Fig. 5). The length of PO is equal to k = h/2 = 0.016 meters.

Figure 5. Relation between the face middle point P and the GC of the block (point O).

The reduced equations that define the line r are given by (7).

The displacement D between two consecutive locations O1 and O2 is given by the expression (8).

5. RESULTS

The following subsections show the results of the proposed methodology applied to the two data sets introduced in Section 4. It was extensively applied to many data samples, of which five examples were chosen to illustrate the procedure. The accuracy of the presented results depends of the assessment of the least squares adjustment. Indeed, there hasn’t been done yet a complete evaluation of the distance measurements accuracy obtained with the acquisition systems mentioned. More tests and field campaigns should be done to obtain expertise about more adequate system calibration and assembling. However, the obtained coefficient of determination (6) can give a preliminary indicator of the Z measures quality, having direct influence on the ZP value estimation (Z coordinate of P on the block adjusted face). That indicator has been computed only for the first data set.

5.1 Data set 1

Figures 6, 7 and 8 illustrate the methodological approaches of face selection and plane adjustment, applied to three motion examples of cubic blocks (the blocks were moved manually). Faces were selected on the images T1 and T2 (different instants of acquisition), followed by least squares adjustment of a plane to each correspondent point cloud. The required GC and displacement values are shown in the Tables 2, 3 and 4.

figure 6. The block unit moves to another location and changes orientation. Coefficient of determination of the plane adjustments: R2(1) = 91% and R2(2) = 90%.

Table 2. Coordinates of the GC, and displacement (meters)

CUBE  Geometric Centre  Displacement  Distance 
GC X Y Z dx dy dz D
O1 0.2241 0.4809 0.1231 0.0084 -0.0044 0.0004 0.0095
O2 0.2325 0.4765 0.1236

Figure 7. The block unit rotates and moves slightly. Coefficient of determination of the plane adjustments: R2(1) = 76% and R2(2) = 59%.

Table 3. Coordinates of the GC, and displacement (meters)

CUBE Geometric Centre Displacement Distance
GC Y Z dx dy dz D
O1 0.1652 0.3034 0.0662 0.0017 0.0061 -0.0002 0.0064
O2 0.1669 0.3096 0.0661

Figure 8. The block unit doesn’t move. Coefficient of determination of the plane adjustments: R2(1) = 78% and R2(2) = 30%.

Table 4. Coordinates of the GC, and displacement (meters).

CUBE Geometric Centre Displacement  Distance
GC X Y Z dx dy dz D
O1 0.1632 0.2722 0.0628 -0.0004 -0.0008 -0.0022 0.0024
O2 0.1628 0.2714 0.0606

5.2 Data set 2

Fig. 9 and 10 illustrate two examples of GC estimation applied to a tetrapod (Rocha, 2016). The top RGB images show the same tetrapod before and after the action of the waves. The bottom images illustrate a group of coplanar points (in white colour), representing the adjusted plane to the selected 3D points of the PC, and the respective GC (illustration equivalent to the previous adjusted planes illustrations). Like the previous experience, the required values are shown in the Tables 5 and 6.

 

Figure 9. Example: The tetrapod unit rotates and moves.

Table 5. Example: Coordinates of the GC and displacement (meters).

TETRAPOD  Geometric Centre  Displacement  Distance 
Instant  dx  dy  dz
T1 0.153 -0.013 1.221 0.031 -0.008 0.025 0.041
T2 0.184 -0.021 1.246

Figure 10. Example: The tetrapod unit rotates and moves.

Table 6. Example: Coordinates of the GC and displacement (meters).

TETRAPOD Geometric Centre Displacement Distance
Instant X Y Z dx dy dz D
T1 0.055 -0.037 1.234 0.049 -0.051 0.043 0. 083
T2 0.104 -0.088 1.277

6. DISCUSSION AND CONCLUSIONS

The proposed methodology integrates imagery and point cloud data to improve BW models monitoring. The innovative proposal of point cloud adjustment, driven by the segmentation of block imagery data, proves to be an asset to the effectiveness of block geometric centre estimation and tracking. It depends, although, of a clear identification of target plane faces of the block units on the images. This is a key factor, for which it was decided not to focus the study in the image processing task of region segmentation. Manual selection was made instead.

The Kinect V2 device, having a system with both integrated RGB and IR cameras, proves to be an asset in terms of surveying cost and quickness. However, it should be noted that, according to Fankhauser et al (2015), the optimal distances from the object, for a higher accuracy, stays between 1 meter (the closer one) and 2 meters (the distant one). At a distance range between those values, the small circular/elliptical faces of the tetrapods (10 millimeters of diameter) may not catch enough sample points in the PC, which may lead to less accurate adjustment results for adjusted plane. Nevertheless, future experience improvements should clarify more this important methodological aspect.

It is important to notice that the point cloud quality depends strongly on the algorithms used for creating the output data (Lachat et al, 2015). A good knowledge of sources of errors affecting the measurements of a system is needed to quantify the accuracy of the data provided by it. The registration accuracy of both RGB imagery and PC data is also an important that should work in favour of a good matching between those. Taking these aspects, we should say that it will be of great importance to further include a section dedicated to the description of the accuracy subject, to validate a capable system of BW model monitoring. However we are able to conclude that, based on the preliminary results presented in several block’s motion examples, the functional approach aiming the estimation of block’s location, achieves the main objective proposed at the beginning of this presentation.

Another importance of this study is that the methodology of detection of regular blocks in RGB images and determination of the location of the GC of blocks from PC can be applied to real BW, with no need for adaptation. Nowadays, the evaluation of the stability of BW is based in visual inspections or in comparisons of photos or videos. In all the cases the information is obtained from the crest of the BW, place that has low or no visibility for same areas of the outer layer. The analysis of the damages of this protection layer and their evolution is qualitative, no measurements are made. For this reason, the detection of displacements can’t be demanding: according to LNEC’s Stability Criteria, the estimated displacement only is relevant when it is larger than the size of a block. With the use of methods that can determine the location of the GC of blocks, and therefore their displacements, with accuracies of 20 cm or less, as expected from studies performed by LNEC, the monitoring of BW can be based in a quantitative method, which is much more accurate. And the use of these techniques will allow other studies, like the detection of small settlements, dangerous because these can be the sign that finer material from the core of the BW is being washed out.

7. FUTURE STUDY

The selection of the regions, from the RGB image, was done manually, to test and assess the present methodology. This task turns rapidly into a drawback, if a set of blocks are to be monitored simultaneously. Therefore, edge/hybrid-based image segmentation approaches are under development to extract several ROI at the same time from the RGB imagery, with a minimal human intervention. To optimize this procedure, the blocks’ colour standardization is also under discussion.

As referred in Section 4.1, the location of point O (GC coordinates) is computed from the location of the shape’s middle point P, which depends of its proper shape definition. When one block is partially hidden by another, that is not possible. This situation is also a top concern that is being studied for further presentations.

Also, the perspective of extending the approach to a real scenario BW, is a project to develop at medium term.

REFERENCES

Fankhauser, P. ; Bloesch, M. ; Rodriguez, D. ; Kaestner, R.; Hutter, M. ; Siegwart, R. (2015). Kinect v2 for mobile robot navigation: Evaluation and modeling. Proceedings of the 17th International Conference on Advanced Robotics, ICAR 2015, pp.388–394.

Henriques, M.J. ; Braz, N. ; Roque, D. (2015). Point clouds and orthomosaics from photographs: Their use in a Civil Engineering Laboratory. FIG Working Week 2015, Sofia, Bulgaria, 17-21 May 2015.

Henriques, M.J. ; Braz, N. ; Roque, D. ; Lemos, R. ; Fortes, C.J.E.M. (2016). Controlling the damages of physical models of rubble-mound breakwaters by photogrammetric products - Orthomosaics and point clouds, 3rd Joint International Symposium on Deformation Monitoring, Vienna, Austria, 30 March – 1 April 2016.

Lachat, E. ; Macher, H. ; Mittet, M.-A. ; Landes, T. ; Grussenmeyer, P. (2015). First Experiences with KINECT V2 Sensor for Close Range 3D Modelling. 3D Virtual Reconstruction and Visualization of Complex Architectures, Avila, Spain, 25-27 February 2015. Reis, M.T. ; Silva, L.G. ; Neves, M.G. ; Lemos, R. ; Capitão, R. ; Fortes,

C.J.E.M. (2014). Physical Modelling as a Fundamental Tool for the Design of Harbours and Maritime Structures.

PIANC Yearbook 2014. Rocha, C. (2016). Monitorização dos modelos de quebra-mares com o sensor Microsoft Kinect. Master Thesis in Geographical Engineering, Faculty of Sciences of the University of Lisbon. Soares, F. ; Henriques, M.; Braz, N. (2016). Integration of Image Processing Tools for Monitoring Breakwaters Models. Poster presentation. European Space Agency Living Planet Symposium, Prague, Czech Republic, 9-13 May 2016.

BIOGRAPHICAL NOTES

Fernando Soares is an Assistant Professor at the Faculty of Sciences of the University of Lisbon. His research activities include Digital Image Processing, Mathematical Morphology, Coastal Monitoring.

Maria João Henriques is a Senior Research Officer at the Applied Geodesy Division of LNEC. Her research activities include Geodetic Surveying Systems design and quality control, atmospheric effects on the measurements, Calibration of equipment, Photogrammetry.

César Rocha is MSc. Student of Geographical Engineering, currently working on a thesis under the subject of “Monitoring of breakwater physical models with the Kinect sensor.

CONTACTS

Fernando Soares
Faculty of Sciences of the University of Lisbon Campo Grande,
Ed. C8, Lisbon,
PORTUGAL
Tel. +352 217 500 836,
Email: fjsoares@fc.ul.pt

Maria João Henriques
Laboratório Nacional de Engenharia Civil
Av. Brasil 101, Lisbon,
PORTUGAL
Tel. +351 218 443 396,
Email: mjoao@lnec.pt